博弈论基础回顾¶
约 1156 个字 3 张图片 预计阅读时间 4 分钟
完全信息静态博弈¶
定义¶
完全信息竞赛的三要素:N(参与人),A(选择集),U(效用集)
- \(G=\{A_1,A_2,\cdots,A_n,u_1,u_2,\cdots,u_n\}\),表示一个博弈;
- \(n\) :博弈方个数;
- \(A_i\) :各博弈方的策略空间;
- \(u_i: A_1 \times \cdots \times A_n\to R\) :第 \(i\) 个人的收益函数。
占优策略¶
A strategy A dominates another strategy B if A will always produces a better result than B, regardless of how any other player plays no matter how that player's opponent or opponents play.
| 乙沉默(合作) | 乙认罪(背叛) | |
|---|---|---|
| 甲沉默(合作) | \(-1, -1\) | \(-10, 0\) |
| 甲认罪(背叛) | \(-10, 0\) | \(-5, -5\) |
完全信息博弈的纳什均衡¶
称行动组合 \((a_1,\ldots,a_n) \in (A_1,\ldots,A_n)\) 为纳什均衡,当且仅当:
\[\forall i,b_i\in A_i, u_i(a_i,a_{-i})\geq u_i(b_i,a_{-i})\]
纳什均衡的计算¶
- 最优反应函数(Best response function): \(B_i(a_{-i})=argmax_{a_i \in A_i} U_i(a_i,a_{-i})\),即知道他人决策情况下,自己的最优决策集合。
- \(A\) 是纳什均衡当且仅当:\(\forall a_i \in A, a_i \in B_i(a_{-i})\).
不完全信息静态博弈¶
定义¶
- \(G=\{A_1,A_2,\cdots,A_n,u_1,u_2,\cdots,u_n, \Theta_1,\Theta_2,\cdots,\Theta_n\}\),表示一个博弈;
- \(n\) :博弈方个数;
- \(A_i\) :各博弈方的策略空间;
- \(\theta_i \in \Theta_i\):\(\theta_i\) 表示第 \(i\) 个人的类型,\(\Theta_i\) 表示类型全集,不确定性体现在当 \(\theta_i\) 发生时,只有第 \(i\) 个人知道 \(\theta_i\),其他人只知道一个概率分布 \(f\);
- \(u_i:A_1 \times \cdots \times A_n\times \Theta_1 \times \cdots \times \Theta_n \to R\) :第 \(i\) 个人的收益函数。
纳什均衡¶
- 策略 \(s_i: \Theta_{i}\to A_i\),即在知道自己的类型 \(\theta_i\) 的情况下,采取一个行动 \(a_i\).
- 定义贝叶斯-纳什均衡,当且仅当 \(\forall i,\forall a_i,\theta_i\),有:
\[
E_{\theta_{-i}}\{u_i[s_i(\theta_i),s_{-i}(\theta_{-i}),\theta_i,\theta_{-i}]\}\geq E_{\theta_{-i}}\{u_i[a_i,s_{-i}(\theta_{-i}),\theta_i,\theta_{-i}]\}
\]
- 这里的 \(E_{\theta_{-i}}\) 表示的是枚举除了 \(i\) 以外的类型,计算 \(u_i\) 的期望.
完全信息动态博弈¶
定义¶
- 参与人集合 \(I = \{1, \dots, n\}\)
- 博弈树 \(T\),终端历史集合 \(N\)
- 参与人函数 \(P: T \setminus N \to I\)
- 参与人的报酬函数 \(u: N \to \mathbb{R}\)
纳什均衡¶
- 可行行动:在非终端历史 \(h\) 处的可行行动记为一个集合:\(A(h) = \{a \mid (h_k, a)_{k+1} \in T\}\)
- 策略:参与人 \(i\) 的一个策略 \(s_i\) 应该在所有满足 \(p(h) = i\) 的历史 \(h\) 指定一个在 \(A(h)\) 中的行动:\(s_i : \{h \mid p(h) = i\} \to \cup A(h) \quad \text{且} \quad s_i(h) \in A(h)\)
- 纳什均衡:我这个策略改变随意任何状态下的决策,都不会更优:\(u_i(O(s_i,s_{-i})) \geq u_i(O(s_i',s_{-i}))\);其中 \(O\) 是从一组策略到终端历史的函数
子博弈的精炼纳什均衡:在任何子博弈下,都是纳什均衡。
不完全信息动态博弈¶
- 相当于在动态博弈的基础下加上了一个概率分布,你不知道对手类型,然后你要确定一个对于我自己不同类型的不同决策树
- 策略 \(s_i(h,\theta_i)\);报酬函数:\(u_i: N \times \Theta \to \mathbb{R}\)
- 信念系统:\(b_i(h)\)——刻画 i 在 h 这个状态中相信的这个世界的状态,即他猜其他人的类型是什么样的 / 什么样的概率分布
- 均衡:在这个点的我的信念系统下,我无论如何改变策略,期望报酬都不会变得更优(子博弈精练:每个点都是均衡,也叫完美贝叶斯均衡)
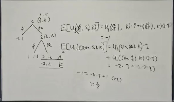
混合策略纳什均衡¶

- 第一个人可以看到底牌是 K/A,第二个人看不到,第一个人选择是否加注,第二个人选择是否跟注。
- 在这种博弈下,没有纯策略均衡,是一种混合策略均衡,即每个人在每个决策点,不是单一决策,而是概率决策。
- 何时均衡?在这个概率下,任何一方改变决策,都不会使得期望收益更多。
记先手摸到 K 以后选择加的概率是 p,后手选择跟的概率为 q:
(b:先手选择加的情况下,牌为 A 的概率)


根据这个概率计算出来的完美贝叶斯均衡,这个博弈是不公平的。